附属竞技体育学校
 
 网站首页  部门概况  师资队伍  党团工作  中心工作  教学训练  招生工作  联系我们  友情链接 
部门概况
 学校概况 
 中心概况 
 协会概况 
 领导简介 
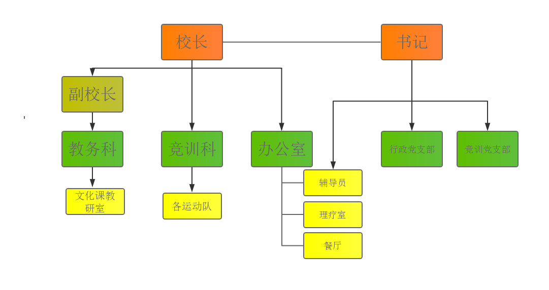
 机构设置 
 基地工作 
  机构设置
当前位置: 网站首页 > 部门概况 > 机构设置
 
竞技体校机构设置

版权所有:1683168诸侯快讯官网附属竞技体育学校  西安市碑林区含光北路65号  邮编:710068    联系电话:029-88409750